******mansion88明升|主页
当前位置:首页 > 通知公告

mansion88明升2024年国家助学金评选名单公示

点击率:   时间:2024-10-14

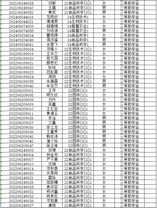
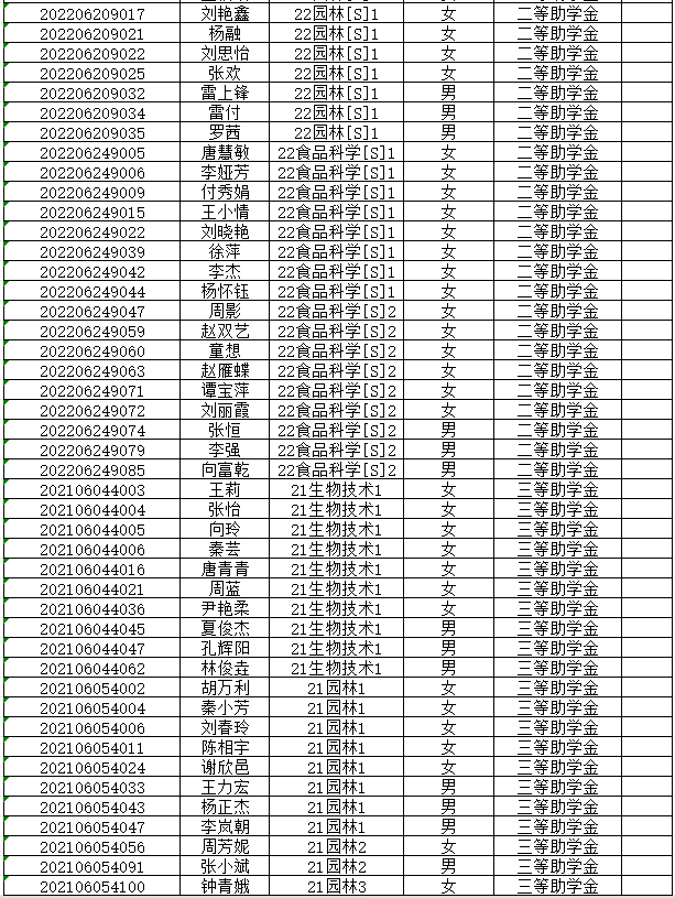
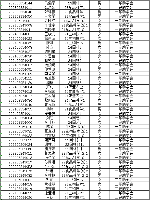
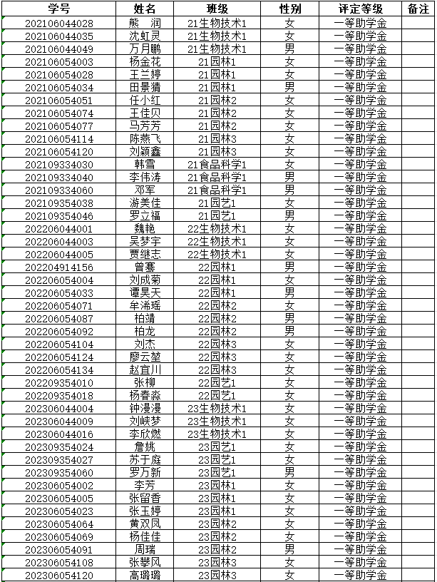
 根据《重庆文理学院关于开展2024年本科学生国家奖学金、国家励志奖学金和国家助学金评选工作的通知》文件要求,经动员宣讲、学生申请,资格审查,班级(年级、专业)民主评议,学院评议初审,现将拟评定名单公示如下,公示期3天,2024年10月14日至2024年10月16日,若有异议,请及时以口头或者书面形式向学院奖助工作评审领导小组反映,联系人:贺老师,电话49684277。

1新QQ截图20241014092929.png